氟在药物分子设计中的应用
氟因其特有的化学性质,在新药开发中应用广泛。在FDA批准上市的含氟药物中,氟以ArF、AlkF、ArCF3等多种结构形式存在,用于改善药物的体内外活性。
氟的化学特性:
1、 氟原子的范德华半径比氢原子大约20%。C-F的键长与C=O相近,比C-H键更长,比C-OH、C-C≡N,以及S=O更短。
2、 氟的电负性跟氧接近。C-F键比C-H键的偶极矩大(方向相反),比C=O键、S=O键、C-OH键,C-C≡N键的偶极矩小。
3、 氟的亲脂性比氢原子略大,且远大于OH、C=O、C≡N、亚砜以及砜取代基。
4、 与氯、溴、碘不同,氟不能形成卤键,且具有很低的可极化性。
这些化学特性使得氟原子可以引入药物分子中,用来改善药物的生物利用度和生物选择性。(DOI: 10.1021/acs.jmedchem.7b01788)
1、 氟替代烷烃氢原子
默克公司在开发用于治疗肥胖症的hBRS-3受体激动剂MK-5046过程中,将分子中的叔丁基替换成三氟甲基环丙烷结构,将-CH3替换成-CF3,增强了药物分子的亲脂性以及代谢稳定性。(ACS Med. Chem.Lett. 2011, 2, 43−47. )
2、ArF与ArCF3
2014年,葛兰素史克(GlaxoSmithKline)公司的Martin等在J. Med. Chem上发表了对丙肝病毒(HCV)NS5B抑制剂Tegobuvir的优化过程,其中,A环和D环的均引入含氟基团。对比数据说明,苯环上氟的取代位置对药物的抗病毒效用影响大。(J. Med. Chem. 2014, 57, 1964−1975.)
3、 N-CF3
N-三氟甲基取代胺可以调节分子碱性,从而影响分子的药物动力学性质,经常被用在药物设计中。日本杏林制药公司根据广谱抗菌药诺氟沙星(Norfloxacin)的构效关系,用三氟甲基、甲基替代乙基,得到其类似物275、276,并检测其体外抗菌活性。结果表明,类似物276与诺氟沙星的抗菌能力相当。(J. Med. Chem. 2005, 48, 3443−3446.)
4、 1,1-二氟乙烯基与C=O
法国国家科研中心的Magueur G团队将青蒿素的羰基用1,1-二氟乙烯基替代得到化合物347,使药效活性提高近两倍。(J. Fluorine Chem. 2006, 127, 637−642.)
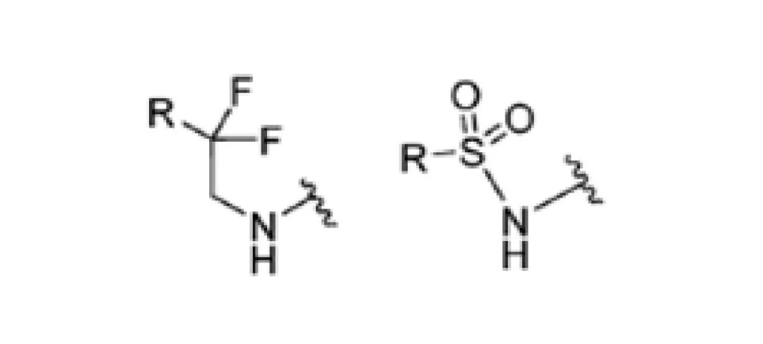
5、 RCF2CH2NHR’与磺酰胺(RSO2NHR’)
虽然还没有大量的研究实验验证RCF2CH2NHR’能够作为磺酰胺(RSO2NHR’)生物电子等排体,但是强生公司的Lily Lee等,在2007年发表的对凝血酶抑制剂的开发实验中给我们一个实例,证明两者为潜在的化学性质相似结构。(Bioorg. Med. Chem. Lett. 2007,17, 6266−6269.)
6、 CHF2与SH
IRBM.MRL Rome公司的Frank Narjes等在开发丙型肝炎病毒NS3抑制剂过程中,将化合物450中的SH用立体结构相似CHF2替换,得到抑制活性增强的化合物452。(Bioorg. Med. Chem. Lett. 2002, 12, 701−704)
7、 CHF2 与OH
阿尔伯塔大学的Edward E. Knaus课题组以环氧化酶(COX-2)抑制剂——Celecoxib为先导化合物,设计合成了环氧酶与5-脂氧合酶的双重抑制剂471。用OH替代CHF2,得到抑制活性相近的化合物472。(J. Med. Chem. 2009, 52,1525−1529.)
8、 氟原子与腈基
默克公司的Timo Heinrich等在研究抗抑郁的5-HT1A受体激动剂vilazodone过程中,在吲哚苯环上引入F原子得到化合物552,经过一系列的实验表明,化合物552与vilazodone的生物活性相似。(J. Med. Chem. 2004, 47, 4684−4692.)
9、SF5基团
SF5是药物分子设计中常用的取代基。与CF3相比,SF5有更大的亲脂性、电负性以及化学稳定性。阿伯丁大学的Matteo Zanda课题组尝试在大麻素配体中引入SF5,并与三氟甲基和叔丁基进行了数据对比,SF5化合物557对CB1受体的作用是CF3化合物556的两倍。(RSC Adv. 2014,

